Reduce the Policy Load

Things had been dodgy to say the least. The organisation was losing money, and while it was never proven it was pretty likely that some was being internally skimmed. A new CEO was appointed and she was met with a tangled web involving people at all levels right up to the board. Had the organisation continued “as is” it would have been broke in 18 months and likely facing a number of legal ramifications. People were suspicious and guarded. It was an emotionally charged and manipulative environment. There was very little trust. The organisation was far from unshakeable and on the verge of being shaken to the core.

As the new CEO uncovered the extent of the chaos, the organisation slipped further with people running for cover behind blame. Factions began making threats in an attempt to ensure compliance or silence. Threats ranged from minor to very serious. 

In the aftermath there was very little trust. In rebuilding the organisation there was a strong swing to creating policy and procedure (P&P) for everything. It’s an understandable reaction - an attempt to lock the doors and bar the windows.  

Screen Shot 2019-05-02 at 5.31.07 pm.png

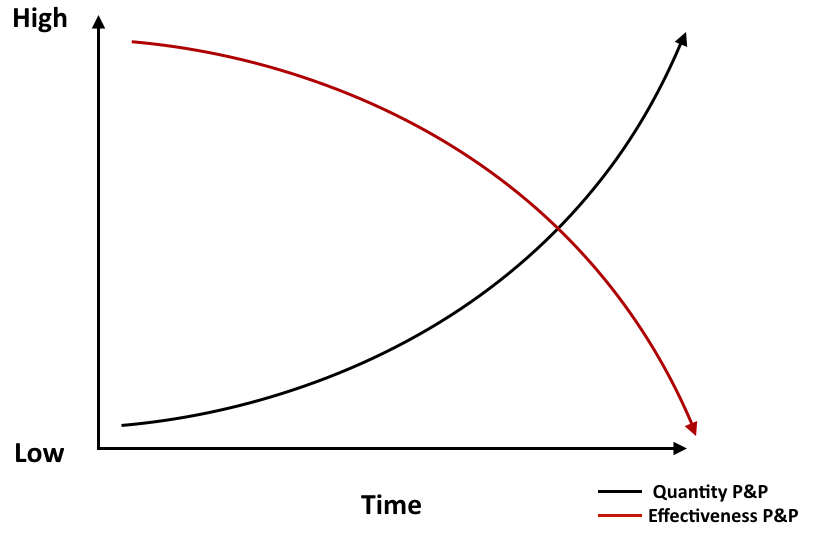
However the higher the quantity of P&P, the lower the effectiveness:

  • Higher quantities of P&P increase the likelihood  that some or all of your staff are operating outside the ‘rules’. The more there are, the less it is possible to know, understand and apply them all. In fact, time and effort will be spent finding work-arounds and short cuts.

  • High volumes of P&P increase the annual workload of review and update. If the team takes the task seriously, it requires a detailed look at each document and how it is serving the organisation (or not). High volumes tend to result in a ‘tick and flick’ mentality that does nothing to contribute to the security that P&P are trying to create.

  • People who will do the wrong thing will find a way, regardless of how thick the P&P file is. 

  • P&P is a great killer of innovation and improvement.

  • High volume P&P implies staff aren’t to be trusted and need every element of their work guided by the organisation.

  • It raises the centre of gravity, by taking decisions and processes up the hierarchy. In turn, this restricts thinking and creativity at the coal face.

  • High volume becomes addictive, as every little gap in P&P is hunted down and filled. It’s like  rabbits or those wire coat hangers from the dry cleaner.

Principles-Ray-Dalio-book-0218.jpg

Unshakable organisations are lean on Policy and Procedure, but do not leave the organisation without guidelines. Ray Dalio’s book “Principles” is a great example of detailed guidance that leaves heaps of room for flexible approaches to changing conditions.

A great principle for organisations who want to be unshakable is to reduce P&P as much as possible.

When reviewing documents, ask yourself “Is there any reason why this document could not be deleted or shortened?”